BENZOTRIAZOLE BASE UV ABSORBER
Content: : 2-(2’-hydroxy-5’-methylphenyl) benzotriazole
CAS Number: 2440-22-4
Structure:

RICHVIN 320
Uitraviolet light absorber for plastics, coating and adhesives
Content : RICHVIN 326 belongs to the family of substituted benzotriazoled which protect against Uitraviolet radiation. RICHVIN 326 has excellent stability to heat and is less likely to Discolor with metal, make it oarticularly useful for stabilizing OVC, polyester coatings, and polyolefin.
Chemical Name: 2-(3’t-butyl-2’-hydroxy-5’-methylphenyl)-5-chlorobenzotriazole
CAS Number: 3896-11-5
Structure:

Ultraviolet light absorber for plastics, coating and adhesives
Characterization: RICHVIN 327 is on of a family of substituted benzotriazoles which protect against Ultraviolet radiation. RICHVIN 327 has a low pka and a hindered phenolic group. As a Result, the molecule is more stable to acid and alkali, and less affected by the reducing and oxidizing agents commonly used in polymerization used to cause discoloration. Impaired performance and other problems.
Chemical Name: 2-(3’,5’-Di-t-butyl-2’-hydroxyphenyl)-5-chlorobenzotriazole
CAS Number: 3864-99-1
Structure:

Ultraviolet light absorber for plastics, coating and adhesives
Characterization: RICHVIN 328 belongs to the family of substituted benzotriazoles which protect against Ultraviolet radiation. RICHVIN 328 has high solubility which made it Particularly useful for stabilizing castings, polyolefins, styrene and urethanes
Compared to other RICH YU’S UV absorbers, RICHVIN 328 is more solvent soluble, Has better resin compatibility and wash fastness, is less volatile, and provides a
Degree of stabilization that is generally equal to or better than other members of the family.
Chemical Name: 2-(3’,5’-di-t-amyl-2’-hydroxy phenyl) benzotriazole
Butanedioic acid,dimethylester,polymer with 4-hydroxy-2,2,6,6-Tetramethyl-1-piperidine ethanol
CAS Number: 25973-55-1
Structure:

LOW VOLATILE BENZOTRIAZOLE UV ABSORBER FOR COATING AND PLASTICS
Characterization: RICHVIN 900 is a high molecular weight UVA of the benzotriazole class,imparting outstanding light stability to a variety of polymers during its use.
Chemical Name: 2-(2H-BENZOTRIAZOL-2-YL)-4,6-BIS(1-METHYL-1-PHENYLETHYL) PHENOL
CAS Number: 70321-86-7
Structure:

LOW VOLATILE BENZOTRIAZOLE UV ABSORBER
Characterization: RICHVIN 234 is a high molecular weight UVA of the benzotriazole class,imparting outstanding light stability to a variety of polymers during its use.
Chemical Name: 2-(2H-BENZOTRIAZOL-2-YL)-4,6-BIS(1-METHYL-1-PHENYLETHYL)
PHENOL
CAS Number: 70321-86-7
Structure:

Ultraviolet light absorber for plastics, coating and adhesives
Characterization: RICHVIN 329 is a high molecular weight ultraviolet light absorber of the hybroxyl Phenyl benzotriazole class. Its inherent off-white color renders itself more suitable for Application where light color is critical. Its low volatility and high lipophilicity makes it especially useful where additive losses may occur during high temperature process.
Chemical Name: 2-(2’-Hydroxy-5’-tert-octylphenyl ) benzotriazole
CAS Number: 3147-75-9
Structure:

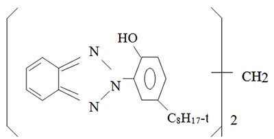
HMW Ultraviolet light absorber for engineering plastics, coating and cosmetics
Characterization: RICHVIN LA-31 is a high molecular weight ultraviolet light absorber of the dimeric hybroxyl phenyl benzotriazole class. Its inherent off-white color renders itself more suitable for application where light color is critical. Its low volatility and high thermostability makes it especially useful where additive losses may occur during high temperature process.
Chemical Name: Methylene Bis
[(3-(2-(2’-benzotriazolyl)-2-hydroxy--5’-tert-octylphenyl)
CAS Number: 103597-45-1
Structure:
