RICHNOX B-BLENDS FOR PROCESSING AND LONG-TERM STABILIZER SYSTEM
Characterization: RICHNOX B215/B215G – a processing and long-term thermal stabilizer system - is a SYNERGISTIC BLEND OF RICHNOX 1010 AND RICHFOS 168.
RICHNOX B215-Chemical Name: RICHNOX 1010 TETRAKIS-[3-(3,5-DI-TERT-BUTYL-4-HYDROXY-PHENYL)PROPIONATE]
RICHNOX B215-CAS Number: 6683-19-8
RICHNOX B215 G-Chemical Name: RICHFOS 168
TRIS(2,4-DI-TERT-BUTYLPHENYL)PHOSPHITE
RICHNOX B215 G-CAS Number: 31570-04-4
Structure:

RICHNOX B225 – a processing and long-term thermal stabilizer system - is a SYNERGISTIC BLEND OF RICHNOX 1010 AND RICHFOS 168.
RICHNOX B225-Chemical Name: RICHNOX 1010 TETRAKIS-[3-(3,5-DI-TERT-BUTYL-4-HYDROXY-PHENYL)PROPIONATE]
RICHNOX B225-CAS Number: 6683-19-8
RICHNOX B225 G-Chemical Name: RICHFOS 168
TRIS(2,4-DI-TERT-BUTYLPHENYL)PHOSPHITE
RICHNOX B225 G-CAS Number: 31570-04-4
Structure:

RICHNOX B-BLENDS FOR PROCESSING AND LONG-TERM STABILIZER SYSTEM
Characterization: RICHNOX B561/B561G – a processing and long-term thermal stabilizer system - is a SYNERGISTIC BLEND OF RICHNOX 1010 AND RICHFOS 168.
RICHNOX B561-Chemical Name: RICHNOX 1010 TETRAKIS-[3-(3,5-DI-TERT-BUTYL-4-HYDROXY-PHENYL)PROPIONATE]
RICHNOX B561-CAS Number: 6683-19-8
RICHNOX B561 G-Chemical Name: RICHFOS 168
TRIS(2,4-DI-TERT-BUTYLPHENYL)PHOSPHITE
RICHNOX B561 G-CAS Number: 31570-04-4
Structure:

RICHNOX B125
High Performance Stabilizer System For Polyolefins
Characterization: RICHNOX HP2215 –provides effective protection of polymer properties across a broad range of processing and long-term thermal stabilizer system - is a SYNERGISTIC BLEND hindered phenolic,phosphite and phophonite.
Composition: RICHNOX HP2215 is a synergistic mixture of sterical hindered phenolic ,phosphit and phosphonite co-stabilizers.
RICHNOX HP2225
RICHNOX B-BLENDS FOR PROCESSING AND LONG-TERM STABILIZER SYSTEM
Characterization: RICHNOX B900 – a processing and long-term thermal stabilizer system - is a SYNERGISTIC BLEND OF RICHNOX 1076 AND RICHFOS 168.
RICHNOX B900-Chemical Name: RICHNOX 1010 TETRAKIS-[3-(3,5-DI-TERT-BUTYL-4-HYDROXY-PHENYL)PROPIONATE]
RICHNOX B900-CAS Number: 6683-19-8
RICHNOX B900 G-Chemical Name: RICHFOS 168
TRIS(2,4-DI-TERT-BUTYLPHENYL)PHOSPHITE
RICHNOX B900 G-CAS Number: 31570-04-4
Structure:

RICHNOX B931
RICHNOX B-BLENDS FOR PROCESSING AND LONG-TERM STABILIZER SYSTEM
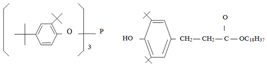
Characterization: RICHNOX B921 – a processing and long-term thermal stabilizer system - is a SYNERGISTIC BLEND OF RICHNOX 1076 AND RICHFOS 168.
RICHNOX B921-Chemical Name: RICHNOX 1076
OCTADECYL-3-(3,5-DI-TERT-BUTYL-4-HYDROXYPHENYL)PROPIONATE
RICHNOX B921-CAS Number: 2082-79-3
RICHNOX B921 G-Chemical Name: RICHFOS 168
TRIS(2,4-DI-TERT-BUTYLPHENYL)PHOSPHITE
RICHNOX B921 G-CAS Number: 31570-04-4
Structure:

RICHNOX B-BLENDS FOR PROCESSING AND LONG-TERM STABILIZER SYSTEM
Characterization: RICHNOX B911(G) – a processing and long-term thermal stabilizer system - is a SYNERGISTIC BLEND OF RICHNOX 1076 AND RICHFOS 168.
Chemical Name: RICHFOS 168
TRIS(2,4-DI-TERT-BUTYLPHENYL)PHOSPHITE
CAS Number: 31570-04-4
Structure:

RICHNOX B1411
RICHNOX B1412/B1412 G
Antioxidant Blend of processing and Long-Term Thermal Stabilization for Polyamides
Characterization: RICHNOX B1171is a blend of a hindered phenolic antioxidant and a phosphite useful for the stabilization of polyamides and other polymers.
Chemical Name: 48-52% RICHFOS 168+48-52% RICHNOX 1098
CAS Number: Preparation
Structure:

RICHNOX B2777
RICHNOX B2888
RICHNOX B813
RICHNOX B815
RICHNOX B817
RICHNOX B834
RICHNOX B835
RICHNOX B837
RICHNOX B873
RICHNOX B875
RICHNOX B877
RICHNOX B2714
RICHNOX B311
RICHNOX B313
RICHNOX B678
RICHNOX B1189
RICHNOX B501W