HINERED PHENOLIC ANTIOXIDANT FOR PLASTICS
Characterization: RICHNOX 1010 – a processing and long-term thermal stabilizer system - is a HINDERD PHENOLIC type antioxidant.
Chemical Name: TETRAKIS-[3-(3,5-DI-TERT-BUTYL-4-HYDROXY-PHENYL)PROPIONATE]
CAS Number: 6683-19-8
Structure:

HINERED PHENOLIC ANTIOXIDANT FOR PLASTICS
Characterization: RICHNOX 1076 – a processing and long-term thermal stabilizer system - is a HINDERD PHENOLIC type antioxidant.
Chemical Name: OCTADECYL-3-(3,5-DI-TERT-BUTYL-4-HYDROXY-PHENYL)PROPIONATE
CAS Number: 2082-79-3
Structure:

LIQUID HINERED PHENOLIC ANTIOXIDANT FOR PLASTICS AND LUBRICANTS
Characterization: RICHNOX 1135 – a processing and long-term thermal stabilizer system - is a HINDERD PHENOLIC type antioxidant.
Chemical Name: iso-Octyl-3,5-bis (di-tert-butyl) 4-hydroxybenzopropionate
CAS Number: 125643-61-0
Structure:

HINERED PHENOLIC ANTIOXIDANT FOR PROSESSING AND LONG TERM THERMAL STABILIZING PLASTICS
Characterization: RICHNOX 245 – is a sterically phenolic antioxidant for processing and long-term thermal stabilizer system - is a HINDERD PHENOLIC type antioxidant.
Chemical Name: ETHYLENEBIS(OXYETHYLENE)BIS-(3(5-TERT-BUTYL-4-HYDROX-M-TOLYL)- PROPIONATE)
CAS Number: 36443-68-2
Structure:

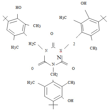
Phenolic Primary Antioxidant for Processing andLong-Term Thermal Stabilization
Characterization: RICHNOX 3114 – a sterically hindered phenolic antioxidant – is a highly Effective, non discoloring stabilizer for organic substrates such as polymers, Synthetic fibers, elastomers, adhensives, waxes ,oils and fats. It protects these Substrates against thermo-oxidative degradation and contributes to their light Stability.
Chemical Name: 1,3,5-tris(3,5-di-tert-butyl-4-hydroxybenzyl)-1,3,5-triazine-2,4,6(1H,3H,5H)- trione.
CAS Number: 27676-62-6
Structure:

HINERED PHENOLIC ANTIOXIDANT FOR WIRE AND CABLE APPLICATIONS
Characterization: RICHNOX 1035 – a sulfur containing antioxidant for processing and long-term thermal stabilizer system in polyethylene wire and cable resins.
Chemical Name: Thiodiethylene bis-[3-(3,5-di-tert-butyl-4-hydroxyphenyl)propionate]
CAS Number: 41484-35-9
Structure:

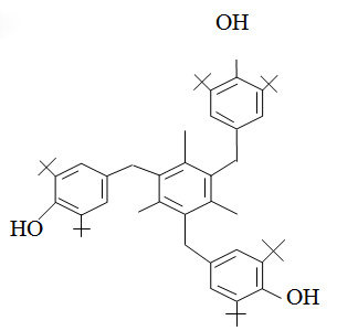
PHENOLIC ANTIOXIDANT FOR PROCESSING AND LONG-TERM STABILIZATION
Characterization: RICHNOX 1330 – A hindered phenolic antioxidant-is as highly effective stabilizer for substrates such as polymers,synthetic fibers,elastomers,adhensives,waxes,oils,and fats.It is a good antioxidant for processing and long-term thermal stabilizer system.
Chemical Name: 3,3’3’,5,5’,5’-hexa-tert-butyl-A,A’,A’-(mesitylene-2,4,6-triyl)tri-p-cresol
CAS Number: 1709-70-2
Structure:

HINDERED PHENOLIC ANTIOXIDANT FOR PLASTICS
Chemical Name: N,N’-Hexamethylene Bis(3,5-di-tert-butyl-4-hydroxy-hydrocinnamamide)
CAS Number: 23128-74-7
Structure:

Phenolic Antioxidant
Characterization: RICHNOX 1425 is a calcium phosphonate derivative of phosphonate. It is Characterized by a very high extraction resistance and extreme low volatility. RICHNOX 1425 provides thermo-oxidative stability to polyolefins.
Chemical Name: Calcium-bis (((3,5-bis(1,1-dimethylethyl)-4-
Hydroxyphenyl)methyl)-ethylphosphonate)
CAS Number:65140-91-2
Structure:

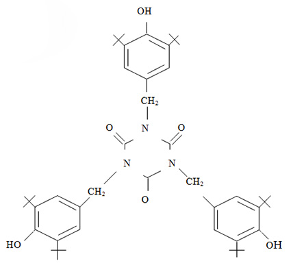
PHENOLIC ANTIOXIDANT FOR PROCESSING AND LONG-TERM STABILIZATION
Characterization: RICHNOX 1790 – A hindered phenolic antioxidant-is as highly effective stabilizer for substrates such as polyolefins,pipe,film,household appliances,PUelastomers,urethane fibers,styrenics,p[olyesters,and fats.It is a good antioxidant for processing and
long-term thermal stabilizer system.
Chemical Name: 1,3,5-Tris(4-tert-butyl-3-hydroxy-2,6-dimethylbenzyl)-1,3,5-triazine-2,4,6-(1H,3H,5H)-trione
CAS Number:40601-76-1
Structure:

Antioxidant BHT(2,6-di-tert-butyl-4-methyl phenol), C15H24O, molecular weight 220.36, white crystals or crystalline powder; soluble in benzene,toluene,ethanol,acetone,carbon terachloride,and methanol;insoluble in water and 10% NaOH solution.Mainly used in animal and vegetable oil and fat,and oil-rich food,and for packaging materials for cosmetics and food.
RICHNOX 2246
RICHNOX BBM-S
RICHNOX 1425WL
RICHNOX 880